ケストース機能性④ アレルギー性鼻炎改善

研究・テーマ
製品種類 -
用 途 -
特 徴 アレルギー性鼻炎
製 品 -(特定の製品の効果効能をうたうものではありません)

ケストースについて

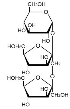
ケストースは、スクロースに1分子のフルクトースが結合した三糖のオリゴ糖で、タマネギやライ麦など、我々が日常的に摂取する野菜や果物にも少量ながら含まれている、安全性の高い糖質です。ケストースは、砂糖によく似たまろやかな味質(甘味度:30)で、水への溶解性が高く、耐熱性にも優れることから食品加工時の利便性が高い食品素材です。また、ケストースは難消化性を示し、経口摂取後は消化されることなく消化管下部へと輸送され腸内細菌により選択的に利用されるため、プレバイオティクスとなり得る条件を備えています。

ケストースは身近な食材にも含まれています。

▼ケストース構造式

▼ 安全性について

1)三浦 洋 著,「食品新素材有効利用技術シリーズNo.13」社団法人菓子総合技術センター(2003)

2) Oku T.et ai., Bioavailability and Laxative Threshould of 1-kestose in Human Adult. Dynamic Biochemistry, Process Biotechnology and Molecular Biology.3,90-95(2009)

アレルギー性鼻炎について

アレルギー性鼻炎は、ハウスダストやスギ花粉などの抗原に対する過剰な免疫反応によって生じる疾患です。

くしゃみ、鼻水、鼻づまりといった鼻の炎症が主な症状です。日本人のアレルギー性鼻炎(花粉症を含む)の有症率は47.2%であることも報告されており3)、アレルギー疾患の中で最も高いことが報告されています。

このことからアレルギー性鼻炎を予防および改善する方法の検討は、重要な課題であると言えます。

 

3) 厚生労働科学研究赤澤班 2010報告書

アレルギー性鼻炎改善 データ (乳幼児、小児)

 

【試験方法】
中等症以上の通年性アレルギー性鼻炎に罹患した学童58名に対して3カ月間の試験を実施した。

3歳未満の試験ボランティアは1日当たり1g、3歳以上の試験ボランティアは2gのケストースを摂取した。

試験期間中も従来通りのアレルギー性鼻炎に対する治療(薬物投与など)を行い、症状に応じて対処した。

 

【評価項目】
(1)アレルギー性鼻炎における各症状(くしゃみ、鼻水、鼻閉)の程度(Symptom score)
(2)日常生活への支障度
(3)メディケーションスコア
(4)使用感アンケート
  ①アレルギー症状の変化について
  ②ケストースの継続使用について

 

※メディケーションスコアとは、投与した治療薬の副作用の強度を点数化したもので、スコアが高いほど強い治療薬が処方されていることを示す。

 

図1 評価項目(1)~(3)

図2 評価項目(4)使用感アンケート

【結果】
試験開始と比較して、試験開始4週ですべての症状の緩和が確認され、試験期間を通して症状が緩和した。また、アレルギー性鼻炎による日常生活の支障度やメディケーションスコアも低下した。
また、参加者の使用感アンケートでは、約70%の試験ボランティアがアレルギー症状の改善を実感し、約90%の試験ボランティアがケストースの継続を希望した。4)

 

4) 門田 吉弘,栃尾 巧,古賀 泰裕,柴田 瑠美子,内薗 明裕,1-ケストースの通年性アレルギー性鼻炎改善効果. アレルギーの臨床 2017年2月号

特許第4162147 号 「アレルギー抑制剤」

※本記事は特定の製品の効果効能をうたうものではありません。

※本記事は、食品または化粧品業界の関係者並びに関連する業務に従事している方への情報提供を目的としたものであり、一般消費者の方に対する情報提供を目的としたものではありません。

お問い合わせについて

以下のお問い合わせフォームより、お問い合わせ概要「研究開発サイトへのお問い合わせ」を選択の上、必要事項 ・お問い合わせ内容をご記入ください。