ケストースとは

  • ケストース
  • 生理機能
開発ストーリー

ケストースとは?

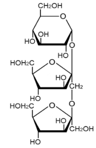
ケストースは、スクロースに1分子のフルクトースが結合した三糖のオリゴ糖で、タマネギやライ麦など、我々が日常的に摂取する野菜や果物にも少量ながら含まれている、安全性の高い糖質です。ケストースは、砂糖によく似たまろやかな味質(甘味度:30)で、水への溶解性が高く、耐熱性にも優れることから食品加工時の利便性が高い食品素材です。また、ケストースは難消化性を示し、経口摂取後は消化されることなく消化管下部へと輸送され腸内細菌により選択的に利用されるため、プレバイオティクスとなり得る条件を備えています。


当社は、2009年よりケストースの持つ多彩な機能性に着目しており、ケストースのパイオニアとして15年以上にわたって研究を積み重ねてきました。

▼ケストース構造式

▼安全性について

1)三浦 洋 著,「食品新素材有効利用技術シリーズNo.13」社団法人菓子総合技術センター(2003)

2) Oku T.et ai., Bioavailability and Laxative Threshould of 1-kestose in Human Adult. Dynamic Biochemistry, Process Biotechnology and Molecular Biology.3,90-95(2009)

ケストースの機能性

※本記事ならびにリンク先記事は、特定の製品の効果効能をうたうものではありません。

整腸機能

これまでの研究成果

論文

・In children with cow’s milk allergy, 1-kestose affects the gut microbiota and reaction threshold.

Pediatric Research /2023.3

Efficacy of 1-kestose supplementation in patients with mild to moderate ulcerative colitis: A randomised, double-blind, placebo-controlled pilot study.

Alimentary Pharmacology & Therapeutics /2022.12

 

学会発表

1-Kestose affects the gut microbiota and reaction threshold in children with cow’s milk allergy.

6TH MICROBIOME R&D & BUSINESS COLLABORATION /2023.4

ケストースによる酪酸産生菌の増殖効果と小児アレルギー疾患におけるプレバイオティクス効果の可能性

(小児アレルギー学会 /2020.10)

論文・学会発表 一覧はこちら

 

ケストースのQ&A

食品ですので摂取量は明確に定めてはいませんが2 g~3 gで十分に効果を期待できると考えております。

アトピー性皮膚炎の改善について公開されている試験結果は15歳までの小児を対象とした試験のみですが、年齢によってアトピー性皮膚炎の改善度に変化がないことも明らかになっております。そのため、成人においてもアトピー性皮膚炎の改善が期待できると考えております。

犬に対するアトピー性皮膚炎の改善効果は報告されております。猫での検証は実施しておりません。

ケストースには食物アレルギーの原因となる特定原材料(28品目)は含まれておりません。(特定原材料:えび、かに、くるみ、小麦、そば、卵、乳、落花生、アーモンド、あわび、いか、いくら、オレンジ、カシューナッツ、キウイフルーツ、牛肉、ごま、さけ、さば、大豆、鶏肉、バナナ、豚肉、マカダミアナッツ、もも、やまいも、りんご、ゼラチン)

臨床試験として、生後すぐの乳児に対して摂取させ、有害事象は認められなかったと報告されています。

※本記事は、食品または化粧品業界の関係者並びに関連する業務に従事している方への情報提供を目的としたものであり、一般消費者の方に対する情報提供を目的としたものではありません。

※本記事は、特定の製品の効果効能をうたうものではありません。

 

お問い合わせについて

以下のお問い合わせフォームより、お問い合わせ概要「研究開発サイトへのお問い合わせ」を選択の上、必要事項 ・お問い合わせ内容をご記入ください。